Міська рада витратить 2 млн 871 тис. грн на підмітання доріжок, тротуарів, косіння зелених зон двічі на сезон і очищення їх від сміття, а також очищення вулиць від снігу та посипання доріг протиожеледними матеріалами взимку. Про це йдеться у проектів рішення міськвиконкому.
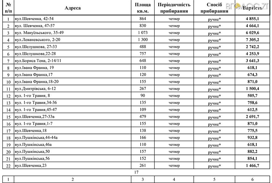
Так, згідно з інформацією додатку до проекту рішення, територію міста розділили на 17 груп. Прибиратимуть вулиці переважно раз на тиждень і вручну. Взимку, коли випадатиме сніг, ці об’єкти прибиратимуть механізовано.

Нагадаємо, за прибиранням міста житомиряни зможуть слідкувати через Інтернет.

















