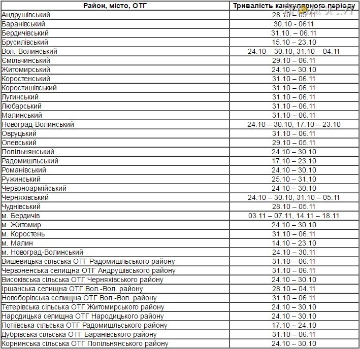
У семи районах Житомирщини 24 жовтня для школярів розпочалися канікули, зокрема у Хорошівському (раніше – Володарсько-Волинський район), Житомирському, Новоград-Волинському, Попільнянському, Романівському, Пулинському (раніше – Червоноармійський район) та Черняхівському районах. Про це повідомила прес-служба облдержадміністрації з посланням на управління освіти та науки.
«Крім того, в області є райони, в яких діти вже відпочили та з 24 жовтня повернулися до навчання. Це – Брусилівський, Радомишльський райони та місто Малин. В інших районах канікули проходитимуть по-різному», – йдеться у повідомленні.

Нагадаємо, новозбудований дитсадок у передмісті Житомира відключать від газу. Установка склопакетів та утеплення фасаду навчанню не заважають, – директор Житомирської ЗОШ № 17. На новий корпус житомирської гімназії № 3 необхідно 40 млн грн.

















